서울 강동구에서 최근 싱크홀 사고가 발생하며 시민들의 불안감이 커지고 있습니다. 도로 위를 걷거나 차량을 운전하다 갑작스럽게 꺼지는 도로, 이른바 '싱크홀(Sinkhole)'은 단순한 사고를 넘어 도시 안전 인프라의 심각한 경고 신호입니다. 특히 이번 사고는 강동구 명일동 일대에서 발생했으며, 유동 인구가 많은 지역이라는 점에서 충격을 더했습니다.
이 글에서는 강동구 싱크홀 발생 원인, 피해 규모, 강동구뿐만 아니라 서울시의 싱크홀 위험구역까지 작성하도록 하겠습니다.
싱크홀의 정의와 발생 원인
**싱크홀(Sinkhole)**은 지반 아래 공간이 비거나 약해지면서 갑자기 지표면이 꺼지는 현상입니다. 주요 발생 원인은 다음과 같습니다:

① 노후화된 지하 매설관 파손
상수도, 하수도, 열수관 등 각종 지하 배관이 노후되며 누수가 발생하고, 물이 흘러나와 토양을 침식시킵니다. 이렇게 생긴 빈 공간은 시간이 지나면 압력을 버티지 못하고 붕괴됩니다.
② 지반 침하 및 연약한 지질
강동구는 과거 하천 유역이었던 지역으로, 충적토 기반의 연약지반이 많습니다. 이러한 토양은 압력과 진동에 취약해 침하 위험이 높습니다.
③ 인근 지하 공사의 진동
지하철 공사나 민간 건물의 기초공사로 인한 진동이 주변 지반에 영향을 줘 약해질 수 있습니다. 특히 최근 강동구 일대의 재개발이 활발해 공사와 싱크홀의 연관성도 주목받고 있습니다.
④ 집중호우 및 지하수 유실
폭우가 집중되면 지하수가 흘러나가거나 배수관을 타고 토사가 유출되며, 지반 아래에 빈 공간이 형성됩니다.
시민이 할 수 있는 예방과 대처 방법
싱크홀은 예측이 어렵지만, 시민들이 조금만 더 주의를 기울이면 사고를 줄일 수 있습니다. 다음은 생활 속에서 실천할 수 있는 대응 방법입니다:
보도나 도로가 푹신하거나 울퉁불퉁하면 신고 (120 다산콜센터)
공사 현장 주변을 지날 때는 최대한 떨어져 이동
도로 표면에 균열, 움푹 팬 자국이 있으면 사진 찍어 제보
비 오는 날 지반이 약해질 수 있으므로 우회 이동 고려
어린이나 노약자는 인도 대신 안전한 보행로 이용 권장

또한, 아파트 단지나 학교 주변에서도 도로 점검 요청이 가능합니다. 주민 센터나 구청 안전관리과를 통해 요청하면 정기적인 지반 상태 점검을 받을 수 있습니다.
강동구의 구조적 문제는?
강동구는 서울 외곽이면서도 재개발이 활발히 이루어지는 지역입니다. 하지만 지하철 5호선, 8호선, 9호선이 지나며 복잡한 지하 구조물이 얽혀 있고, 하천을 복개하거나 매립한 지역도 많습니다. 특히 천호대로 일대는 상수도관, 열수관, 전력선 등이 집중되어 있어 위험 요소가 다수 존재합니다.
게다가 일부 건설사는 공사 비용을 줄이기 위해 지반 안정화 공정을 최소화하는 경우도 있어, 시공 당시부터 싱크홀 발생 가능성을 높이는 결과를 초래하기도 합니다. 서울시는 이에 대해 철저한 감리를 요구하고 있지만, 민간 공사의 경우 실제 적용 여부가 불투명한 실정입니다.
앞으로 필요한 대책
정기적인 지하 공간 스캔 및 매설물 실태조사 확대
도심 노후 배관 교체 사업 속도 강화
시민 참여형 안전 제보 플랫폼 확대
싱크홀 발생 위험지역 실시간 공개 시스템 운영
초등학교, 유치원 인근 도로 상시 모니터링 체계 도입
싱크홀은 단순히 “땅이 꺼지는 문제”가 아니라, 도시의 생명선이 무너지는 사고입니다. 강동구를 포함한 서울 전역에서 싱크홀 예방은 더 이상 선택이 아닌 필수 과제가 되었습니다.

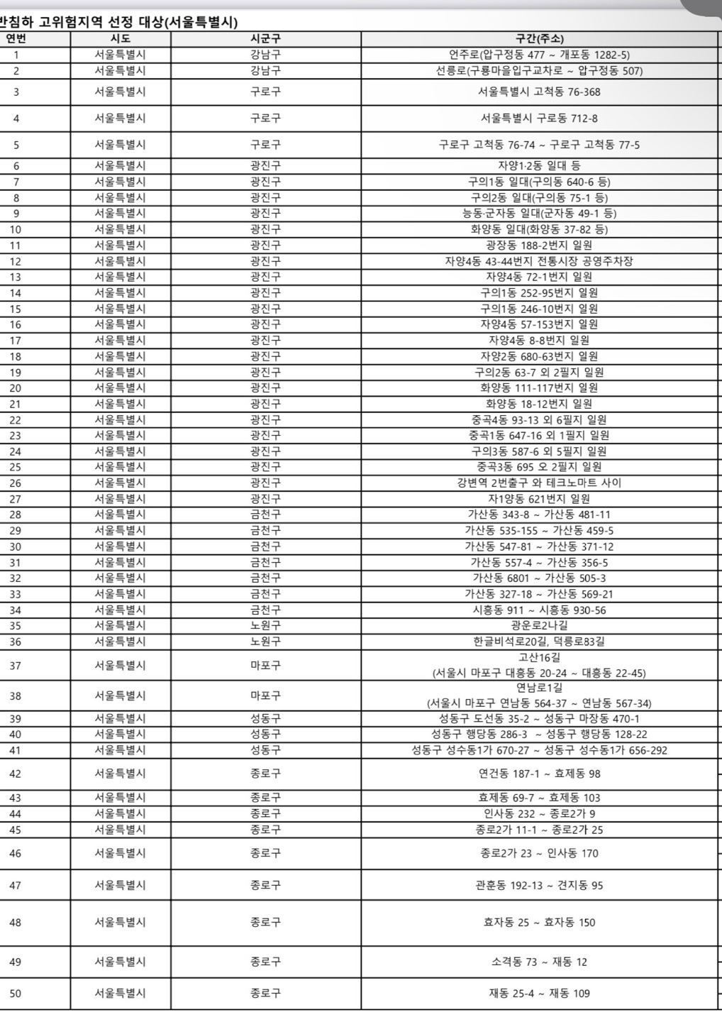
서울시에선 비공개, MBC에선 공개
서울시의 싱크홀 위험지역은 비단 강동구 뿐만 아닙니다. 서울시의 특성상 많은 지하철이 지하로 개통되었고 수많은 재개발로 인하여 굴착이 진행되었고, 진행되고 있습니다. 서울시에선 자체적인 조사를 하였지만 많은 이해관계가 얽혀있는 만큼 공개는 어렵다는 입장을 고수하였는데요, MBC에선 공익의 목적으로 공개를 결정하였습니다. 하지만 조사에서 위험구역으로 나타난 곳에선 강동구 명일동은 없었기 때문에 나타낸 곳 말고도 많은 지역이 위험지역일 수도 있기 때문에 모든 사람이 위험에 노출되어 있을 수밖에 없습니다. 항상 조심하고 위험을 발견한다면 빠른 공익제보가 필요할 것으로 보입니다.